中国科学技术大学2026年创新科学营第一阶段测试于3月28日举行,根据往年学生反映,第一阶段的考核难度适中,不会非常超纲,接下来为大家整理更新相关数学试题内容,大家一起来看!
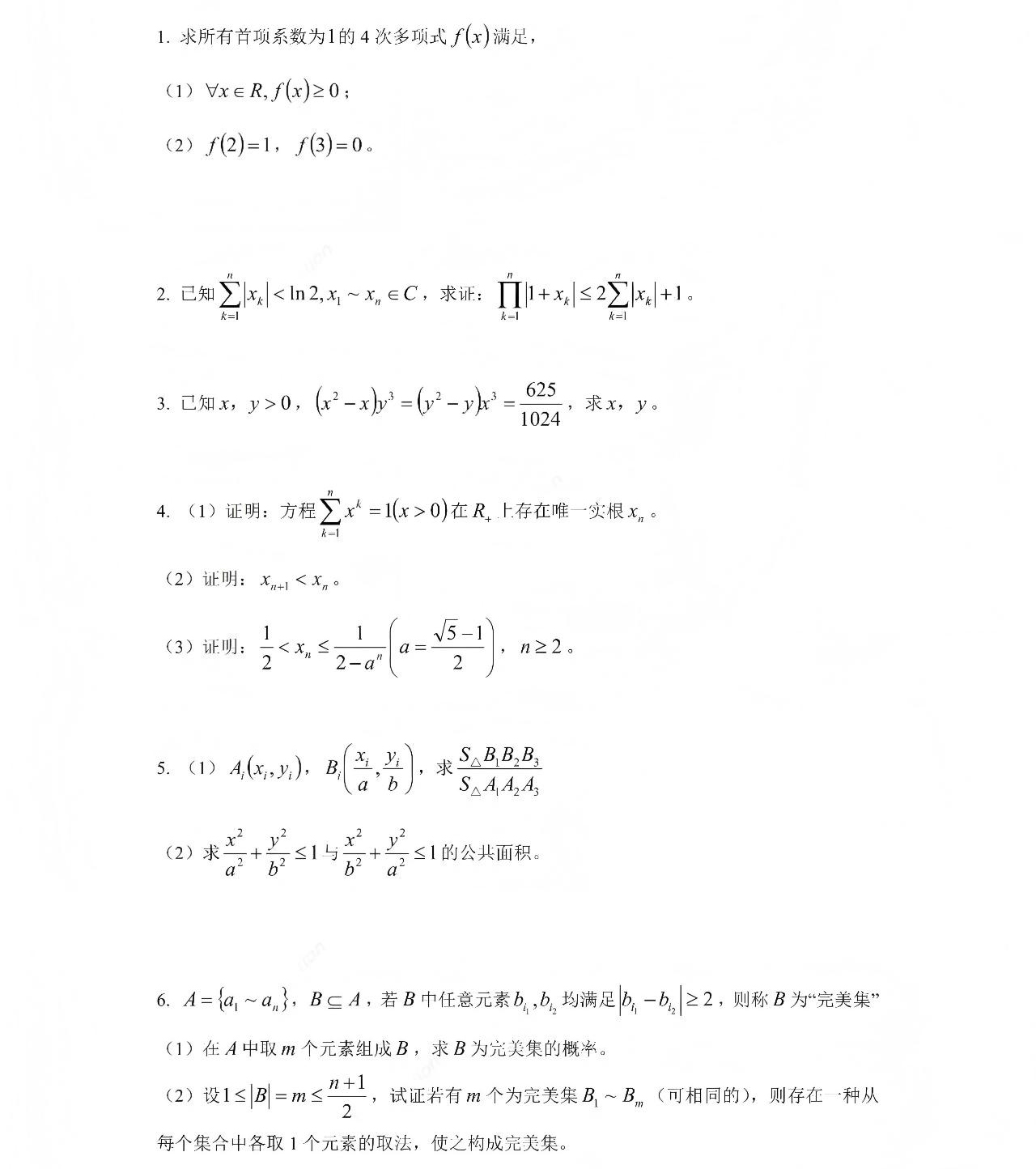
2026年中科大少创班科学营一试数学试题
今年营一数学考试题型稍微有变化,共六道大题,总分100分,分值分别是12、12、12、20、20、24。
第一题:多项式,相对基础,偏简单,容易拿分。
第二题:复试与多项式,对模长不等式比较熟悉的同学可以很快转变单变量的不等式,相对容易。
第三题:函数,比较简单。
第四题:解方程,难度一般。常规技巧。
第五题:熟悉积分的同学可以直接通过积分求解,不熟悉积分的同学利用好第一问的提示也完全可以做出来。
第六题:组合,第一问相对基础,高考题;第二问使用数学归纳法比较容易解决。
试卷整体难度不大,但是题量有所增加。



























