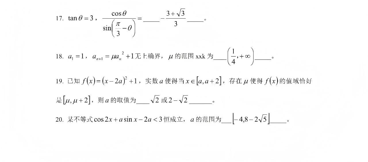
中国科学技术大学2026年少年班及创新试点班入围考数学试题已正式出炉。为方便广大考生、家长及时查阅复盘,北京高考在线团队特意整理了考生回忆版数学试题,完整呈现本次考试题型与考查重点,为大家提供精准参考,助力后续备考与成绩梳理。
中科大少年班(全流程):中国科学技术大学2026少年班招生简章、初审、录取等信息汇总
招生简章:2026高校少年班招生简章及报考指南汇总
历年简章:2025高校少年班招生简章汇总
免费福利:
对于初三至高三学段、学业突出的学生,少年班是一条重要的升学路径——不仅能享受降特招线/一批线录取优惠,更有机会提前进入大学,超越常规升学节奏。北京高考在线整理了
《清华、北大、中科大、西交大等十大少年班报考指南》电子资料
中国科学技术大学2026年少年班及创新试点班入围考准考数学试题





























