清华大学2026年丘成桐数学科学领军人才培养计划招生规模不超过100人,目前,清华大学2026年丘成桐数学科学领军计划学科能力测试二试试题公布,北京高考在线团队整理了相关信息如下:
清华大学丘成桐领军:清华大学2026丘成桐数学领军计划简章、初审、录取等信息汇总
招生简章:2026高校少年班招生简章及报考指南汇总
特别注意:少年班针对具有特定学科特长或天赋的学生进行招生,北京高考在线团队整理了【各高校少年班测试试题】资料,从而帮助同学们备考。
清华大学2026年丘成桐数学科学领军计划学科能力测试二试试题
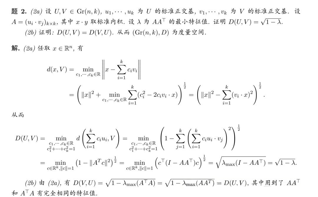
清华大学2026年丘成桐数学领军计划二试数学试题及答案




清华大学2026年丘成桐数学领军计划二试物理试题及答案



























