第八届刘辉杯数学竞赛于2025年11月8~9日举行,在2025冬令营前两周,是一次很好的赛前练兵。北京高考在线整理了2025第八届刘徽杯数学竞赛第一天及第二天试题,供考生参考。
五大学科:2025高中五大学科奥林匹克竞赛通知、试题及获奖名单汇总
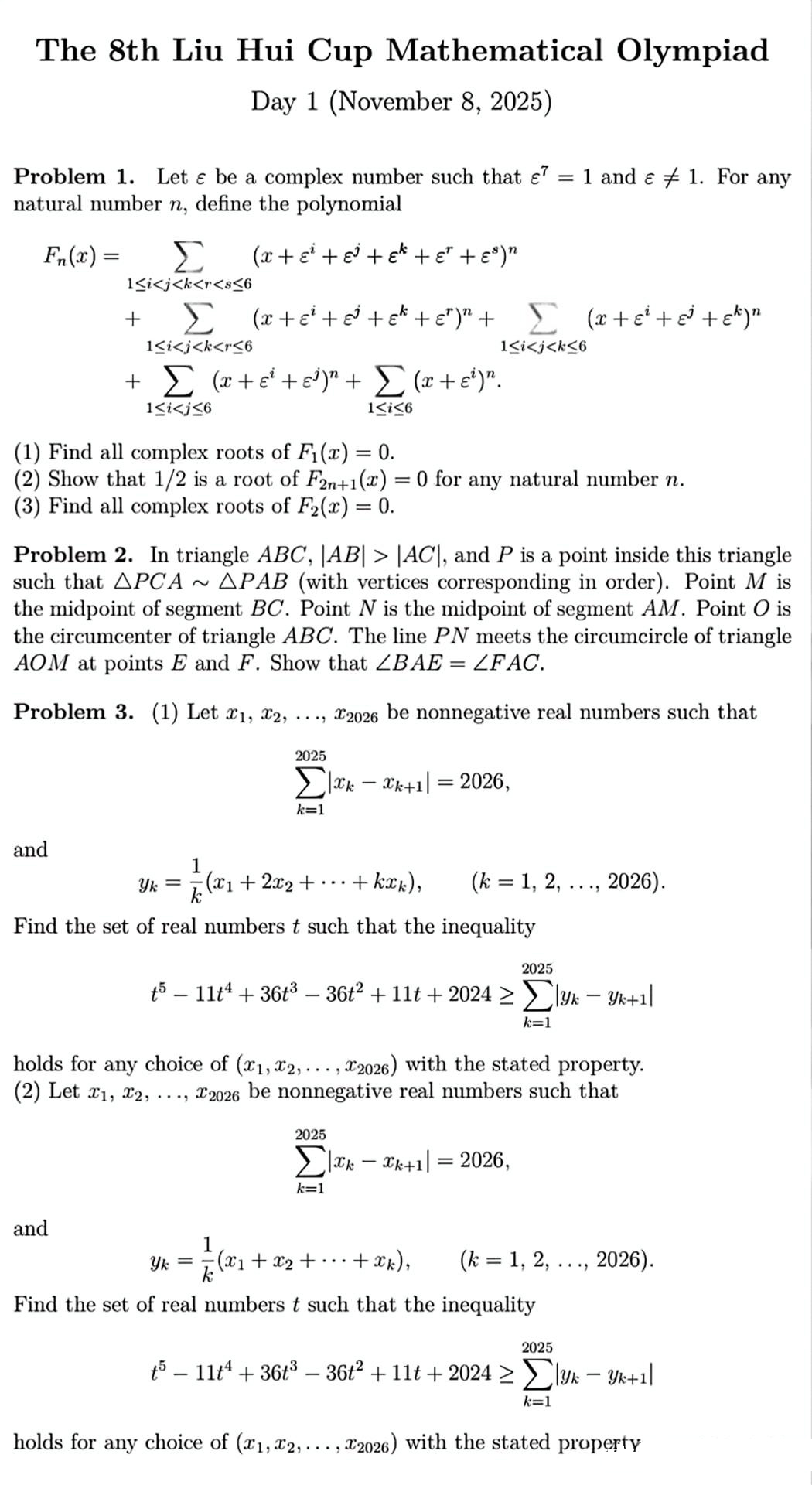
2025第八届刘徽杯数学竞赛第一天及第二天试题





2025-11-18 17:11|编辑: 常老师|阅读: 498
摘要
北京高考在线网站整理了2025第八届刘徽杯数学竞赛试题及答案,供考生参考。
第八届刘辉杯数学竞赛于2025年11月8~9日举行,在2025冬令营前两周,是一次很好的赛前练兵。北京高考在线整理了2025第八届刘徽杯数学竞赛第一天及第二天试题,供考生参考。
五大学科:2025高中五大学科奥林匹克竞赛通知、试题及获奖名单汇总



声明:本文由北京高考在线团队(官方微信公众号:bjgkzx)排版编辑,内容来源于网络,如有侵权,请及时联系管理员删除。
0
收藏
微信扫一扫分享
微信里点“发现”
扫一下二维码便可将本文分享至朋友圈
上一篇:IOI2026集训&精英培训报到通知
下一篇:CCF关于CSP-J/S2025第二轮认证证书发放的公告
NOIP2024报名通知、考点安排、试题及获奖名单汇总2024-12-17
CCF NOI2025各省市省队、代表队选拔方案汇总2025-03-04
2024年高中五大学科奥林匹克竞赛通知、试题及获奖名单汇总2024-12-19
没有更多了
2025北京高考
大学录取分数线
北京高考试题答案
高中五大学科竞赛
2026北京高考
2026强基计划
2026综合评价
2026港澳招生

优质试题

福利领取

强基综评

高考指南

招生简章

学科竞赛

选科指南

升学招生

录取分数
微信识别二维码 关注官方公众号

京考一点通
bjgkzx 复制