微信关注

北京高考在线

登录 | 注册

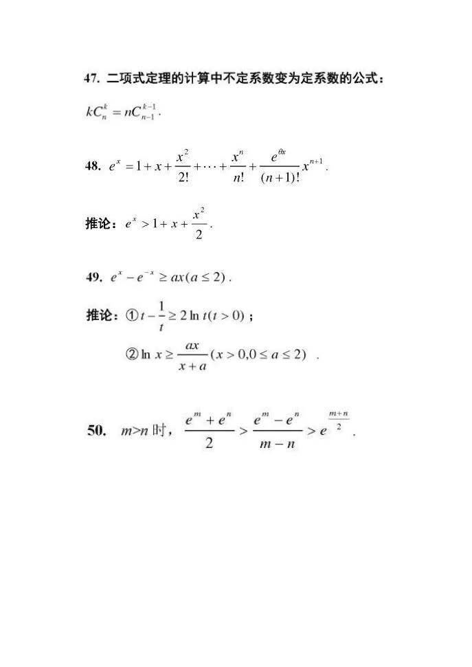
高中数学解题必备的50个二级结论

2024-02-01 10:04|编辑: 张老师|阅读: 2875

摘要

高中数学解题必备的50个二级结论,建议大家抓紧收藏,利用假期学起来~

  • 1
  • 12
  • 13
  • 14
  • 15
前往

0

收藏

分享到:

微信扫一扫分享

QR Code

微信里点“发现”

扫一下二维码便可将本文分享至朋友圈

报错
高中数学解题必备

2025年北京高考各科目知识点汇总2025-02-07

2023年全国各省市高考试题及答案汇总2024-02-20

2021-2023年北京高考试题及答案汇总(可直接下载)2023-07-04

没有更多了

  • 2025北京高考

  • 大学录取分数线

  • 北京高考试题答案

  • 高中五大学科竞赛

  • 2026北京高考

  • 2026强基计划

  • 2026综合评价

  • 2026港澳招生

  • 优质试题

    优质试题

  • 福利领取

    福利领取

  • 强基综评

    强基综评

  • 高考指南

    高考指南

  • 招生简章

    招生简章

  • 学科竞赛

    学科竞赛

  • 选科指南

    选科指南

  • 升学招生

    升学招生

  • 录取分数

    录取分数

微信识别二维码 关注官方公众号

京考一点通

bjgkzx 复制

友情链接: