



2024-01-31 14:04|编辑: 张老师|阅读: 2791
摘要
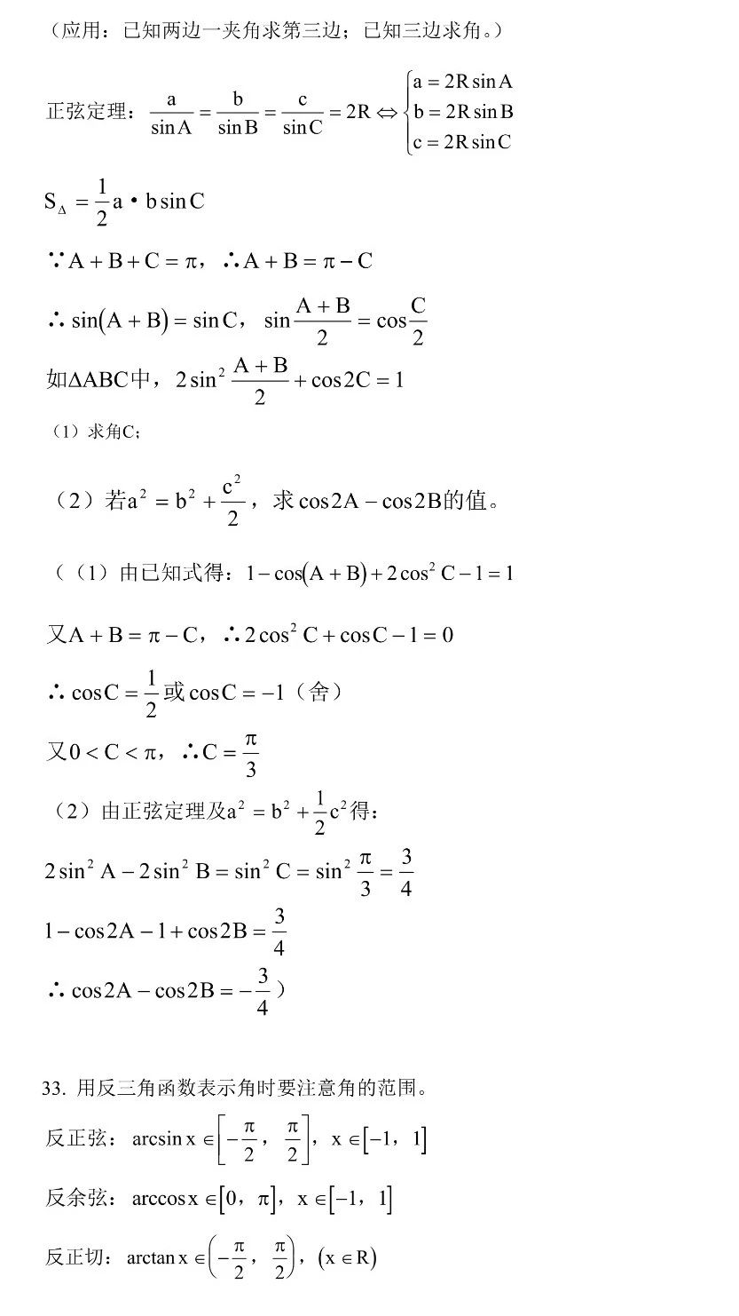
高中数学在熟记概念的基础上,多做练习,稳扎稳打,只有这样才能学好数学。


0
收藏
微信扫一扫分享
微信里点“发现”
扫一下二维码便可将本文分享至朋友圈
上一篇:高中数学中的常用几何模型及构造方法大全
下一篇: 高中数学常用公式定理!解锁113个知识点!
2025年北京高考各科目知识点汇总2025-02-07
2023年全国各省市高考试题及答案汇总2024-02-20
2021-2023年北京高考试题及答案汇总(可直接下载)2023-07-04
没有更多了
2025北京高考
大学录取分数线
北京高考试题答案
高中五大学科竞赛
2026北京高考
2026强基计划
2026综合评价
2026港澳招生

优质试题

福利领取

强基综评

高考指南

招生简章

学科竞赛

选科指南

升学招生

录取分数
微信识别二维码 关注官方公众号

京考一点通
bjgkzx 复制