2024新高考七省联考定于2024年1月19日开考,据最新消息,河南、新疆也加入了这次7省联考,也可称为九省联考。北京高考在线团队特意整理了2024年新高考七省联考(九省联考)成绩公布时间介绍,供大家参考。
2024年新高考七省联考(九省联考)查分时间汇总
江西
评卷工作在2024年春节前完成。考生可于2024年2月底前查询本人适应性演练考试文化成绩。2024年4月20日-23日左右,组织考生模拟志愿填报工作。适应性演练投档录取工作安排在2024年4月下旬进行。
黑龙江
评阅时间初步安排在春节假期后。适时发布考生演练成绩、位次等信息(本次演练不安排考生成绩复核工作),按工作进度组织开展模拟志愿填报和模拟录取工作,模拟录取结果不予公布。
吉林
适应性演练试卷实行网上评卷,评卷工作由省教育考试院统一组织实施。省教育考试院将适时发布考生测试成绩、位次等信息,划定公布模拟控制分数线。本次演练不安排考生成绩复核等工作。省教育考试院统一组织开展适应性演练模拟填报志愿及录取工作。模拟录取结果不予公布。
甘肃
按照工作安排,评卷点集中评卷工作将于1月31日结束,后期还将进行信息核对、成绩统计复核以及等级赋分等工作,预计于2月下旬公布成绩。
2024年新高考七省联考(九省联考)成绩换算过程:
目前此次联考九省均采用新高考【3+1+2】选科模式,如需赋分均会采用五等级赋分制度。
需要“等级转换赋分”的科目:政治、地理、化学、生物4门,这4门要以等级赋分后的成绩计入总成绩。
【3】语文、数学、外语3科满分均为150分,总分450分,各科均以原始成绩计入考生总成绩。
【1】物理或历史必选一科,满分为100分,以原始成绩计入考生总成绩。
【2】政治、地理、化学、生物任选2科,每科满分均为100分,以等级赋分成绩计入考生总成绩。
1.固定的比例及对应的等级、赋分区间。
以实际参加该科选考人数的成绩为基数,将各考生原始成绩从高到低划分为A、B、C、D、E共5个等级,各等级人数所占比例分别约为15%、35%、35%、13%和2%。

以上的5个等级及各等级对应的比例及赋分区间是事先设定的固定规则,转换后赋分成绩满分为100分,赋分起点为30分。
举例①:某学科原始分前15%的考生最高分为100分,最低分为95分,则该学科A等级的原始分区间为【100~95】。
已知A等级赋分区间为【100~86】分(固定不变),也就是说,原始分【100~95】的考生为A等级,赋分后最终成绩为【100~86】分。
举例②:某学科考试成绩最后2%的考生最高分为20分,最低分为5分,则该科目E等级的原始分区间为【20~5】。
已知E等级赋分区间为【40~30】分(固定不变),也就是说,原始分【20~5】的考生为E等级,赋分后最终成绩为【40~30】分。
极端地讲,假设这个区间某考生原始分为5分,赋分后也能拿到30分。
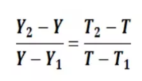
等级转换的具体公式:
Y1、Y2分别表示原始分区间的下限和上限;T1、T2分别表示转换分区间的下限和上限;Y表示原始分;T表示转换分。

考虑到高考分数都以整数呈现,故上述公式的计算结果需要进行“四舍五入”处理。
举例假设小线同学政治学科原始分为75分,再假设政治学科B等级原始分区间为【82~61】,则小线同学政治学科为B等级是多少?
下面进行赋分换算:B等级的赋分区间【85~71】(固定不变),那么小线同学赋分后分数为:
解得,T≈80.33;四舍五入后小线同学政治学科最终赋分成绩为80分。

关于选考科目赋分,贵州已明确不赋分,统考科目和选考科目都直接以卷面原始分数计入适应性测试总成绩。
声明:本文由北京高考在线团队(官方微信公众号:京考一点通)排版编辑,内容来源于网络,如有侵权,请及时联系管理员删除。


























