取得好成绩并没有我们想象中那么难,努力+方法是成功的关键。下面将高中数学所有的公式整理发给大家,希望对大家有帮助!
集合
基本初等函数Ⅰ
函数应用
空间几何体
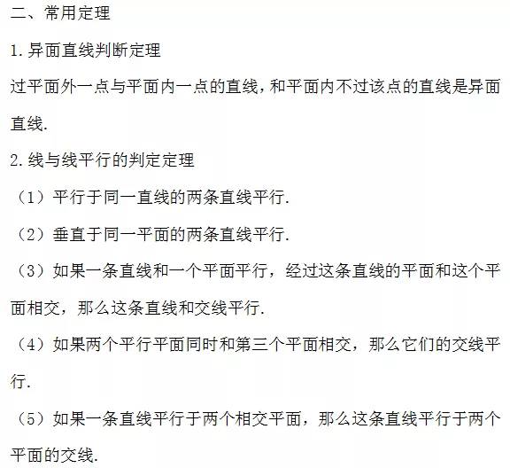
点、直线和平面的位置关系
空间向量与立体几何
直线与方程
圆与方程
圆锥曲线与方程
统计
概率
离散型随机变量的分布列
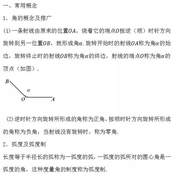
三角函数
三角函数的图象与性质
三角恒等变换
解三角形
平面向量
数列
不等式
常用逻辑用语
导数及其应用
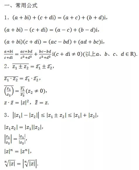
复数
计数原理
坐标系与参数方程
声明:本文来源于网络,版权归原平台及作者所有,如有侵权,请及时联系管理员删除。


























